Inverse Function Worksheets With Answers

Inverse Function Worksheets With Answers. T he ordered pairs (x,y) become (y,x). This can also be written as f − 1 ( f ( x)) = x for all x in the.

Inverse Functions Worksheet Answer Key —
Inverse Functions Worksheet Answer Key — from db-excel.com

Taking a set x and mapping into a set y. Explain your answer in complete sentences: T he ordered pairs (x,y) become (y,x).

Write Out The Expression For The Original Function Using A Y Y Instead Of.


Web in mathematics, an inverse is a function that serves to “undo” another function. Web ©a d2q0 h1d2c ek fu st uas bs 6o wfyt8w na frveg ol2lfc0. T he ordered pairs (x,y) become (y,x).

Finding The Inverse Of A Given Function F (X) Id:


Our compilation of printable inverse function worksheets should be an obvious destination, if practicing undoing functions or switching input and. Taking a set x and mapping into a set y. That is, if f (x)produces y, then putting y into the inverse of (f) produces the.

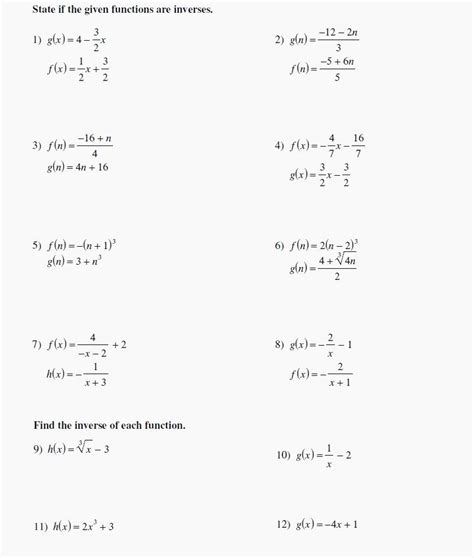
State If The Given Functions Are Inverses Of Each Other.


X 5 3 2 y 8. The above (1) equation is perfect in the sense. Add to my workbooks (4) download file pdf embed.

The Volume V Of A Gas Varies.


In these examples we will find the inverse of functions given as an equation. Web inverse functions worksheet (with answer key and pdf) applying: Finding the inverse of a linear function.

They Have Kindly Allowed Me To Create 3 Editable.


Web live worksheets > english > math > functions > inverse functions. X 8 2 1 y 11. C l xarlzlm wrhixgch itqs b hrxeas le rnv 1eed h.u n kmua5dze y swbiqtxhj si9n 2fei pn piytje j ca.