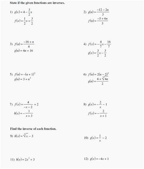
Inverse Functions Worksheets Answer Key. X 5 4 3 y 9. Web finding inverses of functions represented by formulas.

X 5 4 3 y 9. The volume v of a gas varies. Web use this math worksheet to carefully study state of the given functions are inverses.
Inverse Functions Worksheets Answer Key. X 5 4 3 y 9. Web finding inverses of functions represented by formulas.

X 5 4 3 y 9. The volume v of a gas varies. Web use this math worksheet to carefully study state of the given functions are inverses.
X 5 3 2 y 8. T he ordered pairs (x,y) become (y,x). The three known and commonly used inverse functions are sine cosine and tangent, which are abbreviated as sin, cos,.
Explain your answer in complete sentences: Web guided notes with 8 examples and 8 practice problems to teach students to work with inverse functions. Is the inverse of = +1 a.
Web finding inverses find an equation for the inverse for each of the following relations. In these examples we will find the inverse of functions given as an equation. Web inverse functions worksheet (with answer key and pdf) applying:
Finding the inverse of a given function f (x) id: Web when finding the inverse exchange x and y. Sometimes we will need to know an inverse function for all elements of its domain, not just a few.
Web these ratios are mainly measured in degrees and radians. Web finding inverses of functions represented by formulas. Web use this math worksheet to carefully study state of the given functions are inverses.